绝圣弃智,民利百倍;绝仁弃义,民复孝慈;绝巧弃利,盗贼无有。 此三者以为文不足。 故令有所属:见素抱朴,少私寡欲。
Stop acting sagely and throw out wisdom—the people profit a hundredfold.
Stop acting humane and throw out justice—the people become filial and gentle.
Stop intervening in the economy—robbers have nothing.These three ways thought old elegance did fail
And cloaked their depth beneath a modest veil;
But simple views, and courses plain and true
Would selfish ends and many lusts eschew.
A man once tilled his lands north of the Yellow River. Villagers and nearby cityfolk alike knew of his honesty and generosity. One time, a neighbor’s parents died, and said neighbor could not afford to bury them properly. The man, Dòu Jiàndé (窦建德), heard about it while ploughing to grow millet and wheat. Dòu Jiàndé promptly sold his ox and helped his neighbor with the funeral.
Some time after, robbers came upon Dòu Jiàndé’s home. The gallant farmer waited for three to enter, and he killed them on the spot. Their fellow robbers feared his skill, and they begged him to let them haul the dead bodies out. Dòu Jiàndé took their rope and tied himself to it. When he called for them to pull the bodies out, the robbers pulled him out instead. Dòu Jiàndé killed more robbers as the rest fled.
The Suí Dynasty would lose a war with Korea as floods and famine afflicted the land. Dòu Jiàndé started a rebellion that grew to 10,000 strong. His 10,000 became a hundred thousand as Imperial officials welcomed him into their cities. He then named himself King of Chānglè, and ruled in his own right for ten years—till the Táng Dynasty took over and had him executed.
Dòu Jiàndé was but only a rather spectacular example of yóuxiá—wandering braves who roamed the land, doing quests, helping the needy, and fighting evildoers. Folk stories and ballads hailed them for a warrior’s skill and individual character. For these swordsmen, the monk Jiǎ Dǎo wrote this poem some 200 hundred years after Dòu Jiàndé’s uprising:
A decade long I honed a single sword,
Its steel-cold blade still yet to test its song.
Today I hold it out to you, my lord,
and ask: “Who seeks deliv’rance from a wrong?”
Even with all these stories, however, no one in the West would think that such feats of daring could happen in Chinese history. We see in them a world so unlike what Westerners have come to think about China. Heroes wandering the land righting wrongs and bringing bandits to justice outside the government’s procedures. Heroes who trusted in their individual excellence and not in group identity, save maybe for their bands of friends. Societies full of trust, generosity, selflessness, all self-motivated. Instead of dutiful sons taking professional work on their parents’ bidding, these heroes longed to save those throughout the land, they saw the nation as worthy of their excellence, and they braved officials and bureaucrats as they undertook their deeds. And some, like Dòu Jiàndé or Yuè Fēi, dared to dream of matters far beyond their environs and surroundings.
James Liu noted that:
It is interesting to note the geographical distribution of the wandering braves. Most of them came from North China, especially what are now the provinces of Héběi and Hénán. About two-thirds of the wandering gallants described above came from these two provinces. This may have something to do with their proximity to northern nomadic tribes, whose way of life stressed freedom of movement and military virtues.
Liu, James JY. The Chinese knight-errant. Vol. 8. Routledge, 2022.
Geography and way of life, however, form only one side of the coin. China, far from some monolithic Confucian rice-growing land, sees many peoples and practices dot it. What Westerners think about China is a mish-mash of Cantonese and Fujianese culture and stereotypes combined with fear-mongering about the People’s Republic of China and the so-called Chinese Communist Party. One could even argue that two separate peoples steered China’s destiny through history: Northerners and Southerners. Far from mere differences in language or cuisine, Northerners and Southerners have such striking differences that the Hàn, far from one people or even culture beyond a shared heritage, in fact makes up two diametrically opposed peoples.
These same differences pose vulnerabilities to the People’s Republic of China (PRC), both from within and without. If ignored and swept under the rug, then we will see the dynastic cycle reach its logical conclusion. If recognized and used as a springboard for policy, however, then the PRC can keep its mandate going as long as it takes the proper steps.
Farming, chairs, and worldviews

训曰:朕南巡数次,看来大江以南水土甚软,人亦单薄。诸凡饮食视之鲜明奇异,然于人则无补益处。大江以北水土即好,人亦强壮。诸凡饮食亦皆于人有益。此天地间水土一定之理。今或有北方人饮食执意效仿南方,此断不可也。不惟各处水土不同,而人之肠胃亦异。勉强效之,渐至于软弱,于身有何益哉?
The instruction says: I have traveled to the south several times, and it seems that the land and water south of the Great River are very soft, and the people are also thin and weak. All food and drink appear fresh, bright, and peculiar, yet they provide no nutritional benefits to people. North of the Great River, the land and water are good, and the people are also strong. All food and drink are also beneficial to people. This is the certain principle of the land and water between heaven and earth. Now, if some people from the north insist on imitating the dietary habits of the south, it is decidedly inadvisable. Not only are the land and water different in each place, but people's stomachs and intestines are also different. Forcing oneself to imitate it, gradually leading to weakness, what benefit does it have for the body?
The Kangxi Emperor, A Father’s Teachings through Maxims (116)
Northern China grows wheat and millet, and Southern China grows rice. This divide has persisted since prehistoric times. Farmers find it easy to grow wheat and millet, even in rugged, hardy places. Meanwhile, rice needs fertile land and communal labor. Thus, two cultures developed in these two places. The north became individualist, rugged, sensible, guilt-driven, and self-strengthening, with culture upholding personal responsibility and achievement. The south became collectivist, luxurious, idealistic, shame-driven, and meek, its own culture upholding communal efforts and abstract morals. These institutional, psychological, and ultimately genetic trends have persisted in the People’s Republic of China.

The most recent study on these differences happened in 2018. Those behind the study counted how many people sat alone in restaurants and coffee shops in rice-growing and wheat/millet-growing regions in China. Even after controlling for economic and demographic factors, the region itself remained the best predictor of whether someone sat alone—wheat/millet growing regions having more people sitting alone than rice growing regions.
People in rice regions were less likely to be alone (γ = −0.42, P = 0.010, rcity-level = 0.79; γ represents group-level regression coefficients). On weekdays, roughly 10% more people were alone in the wheat region than the rice region. On weekends, the wheat region had about 5% more people sitting alone (Fig. 2).
Talhelm, Thomas, Xuemin Zhang, and Shigehiro Oishi. “Moving chairs in Starbucks: Observational studies find rice-wheat cultural differences in daily life in China.” Science advances 4.4 (2018): eaap8469.


Said researchers also placed chairs such that they posed a hindrance to people moving around. They checked whether people would move the chairs or squeeze through them.

To see whether this test would really work, they first did this test in Japan and the United States. As Americans were more individualist and Japanese collectivist, a successful test there would mean a successful test within China. As it turns out, their hypothesis held for these countries.
We also ran a small sample in Japan (Kyoto and Nagoya, 45 observations). As a rice culture and a collectivistic culture, Japan should have a low rate of moving the chair. Japan’s rate of chair moving (8.5%) was similar to China’s (8.0%) (γ = −0.15, P = 0.788, r = 0.02). The results from the United States and Japan suggest that chair moving maps onto differences between individualistic and collectivistic cultures.
Talhelm, Thomas, Xuemin Zhang, and Shigehiro Oishi. “Moving chairs in Starbucks: Observational studies find rice-wheat cultural differences in daily life in China.” Science advances 4.4 (2018): eaap8469.
They also tested a subsample of those in China who partook in the test (saw the chair as an obstacle and did or did not move the chair) for psychological traits. As controls, they used customer/employee, city wealth, district wealth, age, and biological sex.
After running the numbers, they found that Northern Chinese more often moved the chairs, while Southern Chinese squeezed through them.
People in the rice region were less likely to move the chair (γ = −1.86, P < 0.001, rcity-level = −0.99, rind-level = −0.24; Table 2). In the rice region, about 6% of people moved the chair, whereas in the wheat region, 16% of people moved the chair. Employees were much more likely to move the chair (B = 1.93, P < 0.001, rind-level = 0.10; Fig. 6). Among employees, 24% moved the chair compared to 4% of customers. However, rice-wheat differences were apparent among employees (γ = −2.55, P < 0.001, rcity-level = −0.86, rind-level = −0.39) and civilians (γ = −1.67, P = 0.009, rcity-level = −0.97, rind-level = −0.19). Among customers, women were less likely to move the chair (B = −1.06, P = 0.016, rind-level = −0.19; Fig. 6). Among employees, men and women did not differ (B = 0.03, P = 0.936, rind-level < 0.01). In a model controlling for gender and employee effects, the rice-wheat differences remained (γ = −2.02, P < 0.001, rcity-level = 0.97, rind-level = −0.24; Table 2).
Talhelm, Thomas, Xuemin Zhang, and Shigehiro Oishi. “Moving chairs in Starbucks: Observational studies find rice-wheat cultural differences in daily life in China.” Science advances 4.4 (2018): eaap8469.
The study makers also accounted for age and place wealth. Economic growth and globalization could have meant that younger people would be more individualistic than older ones. However, age differences and city/district wealth meant nothing—they appeared either as nonsignificant, or with only a very small significant effect, in statistical tests.
At the district level, districts with older populations were less likely to move the chair (γ = −0.18, P = 0.041, rdist-level = −0.49) (among nonemployees; table S6). However, this relationship became nonsignificant after adding rice (γ = −0.05, P = 0.667, rdist-level = −0.19). Time of day was not related to chair moving (P = 0.851)… We tested whether people in more developed (and presumably more modernized) cities were more likely to move the chair. Wealth of the city was not related to chair moving (γ = −0.35, P = 0.467, rcity-level = −0.44) (GDP per capita; table S6). This was also true after controlling for rice (P = 0.936; Table 2). Next, we zoomed into the district level. People in wealthier districts were not more likely to move the chairs (GDP per capita; γ = −0.02, P = 0.517, rcity-level = 0.23; table S6). The slight negative relationship could be because the rice areas of China are wealthier than the wheat areas. Controlling for rice, people in wealthier districts were marginally more likely to move the chairs (γ = 0.03, P = 0.199, rcity-level = 0.67).
Talhelm, Thomas, Xuemin Zhang, and Shigehiro Oishi. “Moving chairs in Starbucks: Observational studies find rice-wheat cultural differences in daily life in China.” Science advances 4.4 (2018): eaap8469.
This was the latest in a line of studies confirming how Chinese agricultural differences came with cultural differences between North and South. More studies shed light on more differences between people in these regions.
Southerners show more levels of ingroup vigilance compared to Northerners. As the study authors define:
Ethologists define vigilance as a tendency to perceive threat… we define ingroup vigilance as social vigilance directed toward peers in one’s groups, such as classmates and coworkers. Ingroup vigilance is a social cognitive tendency to anticipate threat from ingroup members. We argue that people in collectivistic cultures tend to perceive more competition in their social relationships. Because of this, we propose that they more readily impute negative intentions to ingroup members.
Liu, Shi S., et al. “Ingroup vigilance in collectivistic cultures.” Proceedings of the National Academy of Sciences 116.29 (2019): 14538-14546.

The study showed that Southerners—proxied by rice farming—imagined more bankrupt behavior from their in-group compared to Northerners.
Participants from across China read half-finished stories about competition with other in-group members. For example, they read about two researchers at a biotech company who are both vying for a yearly bonus. Then they asked participants to imagine what the researcher might do to win the bonus. Participants from rice regions imagined more unethical behaviors, such as sabotaging the co-worker’s experiment.
Talhelm, Thomas. “Emerging evidence of cultural differences linked to rice versus wheat agriculture.” Current opinion in psychology 32 (2020): 81-88.
Southerners are prone to imagining stories about their close relations. Hence we have gossiping, shaming, and back-biting. The tactic of Denial, Insult, and Projection runs deep within them—Southerners deny having wrong views of reality or having done any wrong, they insult whom they have wronged, and they project that whom they have wronged was the one who wronged.
Good and excellent men must learn how to handle these stratagems.
Southerners also show better interpersonal wisdom than Northerners. Study makers recruited survey participants online, and gave them a battery of questions to answer. Part of these questions was the Situated Wise Reasoning Scale (SWIS), which touches on “variables such as perspective taking, consideration of change and alternatives, intellectual humility, search for compromise/resolution, and adopting an outsider’s vantage point.”
To ensure the accuracy of recall, participants were asked to answer several questions about the situation and their subjective experience (for instance, “What were you doing when it happened?”; “Who was involved in this situation?”). They were then asked to respond to 21 items measuring to what extent they used the five aspects of wise reasoning: (a) consideration of others’ perspectives (“Tried to communicate with the other person what we might have in common”), (b) consideration of change and multiple ways a situation may unfold (“Looked for different solutions as the situation evolved”), (c) intellectual humility/recognition of limits of knowledge (“Double-checked whether my opinion on the situation might be incorrect”), (d) search for a compromise/conflict resolution (“Considered first whether a compromise was possible in resolving the situation”), and (e) view of the event from the viewpoint of an outsider (“Wondered what I would think if I was somebody else watching the situation”).
Wei, Xin-Dong, and Feng-Yan Wang. “Southerners are wiser than northerners regarding interpersonal conflicts in China.” Frontiers in Psychology 11 (2020): 513131.
Southerners’ interpersonal wisdom stemmed from their collectivist culture and institutions. They needed to learn how to best navigate relationships with other people through subtle methods. We may glean that nonviolence, low sense of personal (vs group) responsibility, low desire for personal (vs group) achievement, and many more traits stem from Southern culture and institutions.
A Landmark Study: Quasi-random Wheat-Rice Assignment
Differences in agriculture led to differences in culture and institutions. The most immediate outcome, of course, was the individualist-collectivist divide. One may wonder: how did this first divide appear?
Conveniently, the People’s Republic of China performed random assignment to rice and wheat farms:
This study takes advantage of a unique time in history when the Chinese Communist Party essentially randomly assigned people to farm rice or wheat. After World War II, the government created state farms around the country to open up new farmland, put former soldiers to work, and re-educate urban youth6 . In northern Ningxia Province, the government created two farms just 56 kilometers from each other—one rice, one wheat (Fig. 1). The Lianhu rice farm and Qukou (“choo-koh”) wheat farm have nearly identical environments. They have similar temperature, rainfall, and acreage (Table 1). Both sit near the Yellow River, which brings water that can irrigate paddy rice. But a minor difference in the topography allowed one to farm rice and the other wheat. Most of the wheat farm is 50 to 100 meters above the river, which prevents economical irrigation. This created a rare natural experiment where Chinese citizens were quasi-randomly assigned to farm rice or wheat.
Talhelm, Thomas, and Xiawei Dong. “People quasi-randomly assigned to farm rice are more collectivistic than people assigned to farm wheat.” Nature Communications 15.1 (2024): 1782.
This landmark study assessed four variables:
Triad categorization task:) measures holistic thought, which is more common in collectivistic cultures. Participants choose one of two items (carrot or cat) to pair with an object (rabbit). Rabbit and carrot are a relational (holistic) pairing, whereas rabbit and cat are a categorical (analytic) pairing. (Probabilistic 1/0)
Loyalty task: participants read scenarios about doing a business deal with a friend or a stranger. Then they find out the friend/stranger was honest or dishonest. They can reward the friend or stranger for their honesty, and they can punish them for their dishonesty. Loyalty is defined as whether participants treated the friend better than the stranger, even though their behavior was the same. (Measured in Renminbi)
Sociogram task: participants draw circles to represent themselves and their family or friends. Drawing the self larger than they draw others implies individualism. (Measured in milimeters)
Descendants of assigned rice farmers has lower self-inflation among family members, higher loyalty/nepotism, and more probable holistic thought. These differences appeared within one generation of assignment by the government. At the start, at least, we may say that the individualist/collectivist divide is not genetic.
This natural experiment aside, the idea that all Southern/Northern differences come solely from the rice/non-rice divide holds no water. In 2020, a study constructed Individualist/Collectivist latent factors using divorce rate, proportion of young males living away from parents, fertility rate, among some other variables. They ran a regression using rice planting ratio and other variables:
Now, the study authors used their results to justify lineage development as a new way to explain the individualist/collectivist divide on top of the rice/non-rice explanation. Of course, this is classic reverse causation—lineage development can only be high in cultures that were already collectivist in the first place. More interesting, however, is that their regression which included rice planting ratios had an R-squared of 0.21-0.25. In other words, their regression model explained only 21-25% of the variance in collectivism—and even less when individualism was used as the dependent variable. One could even say that other factors were also at work in moving towards the present individualist/collectivist divide—and Northern-Southern differences in general. Considering the choice of variables to construct the factors, however (which clearly also have socioeconomic and genetic influences1), I wouldn’t take too much from this study.

Not the Only Differences
While the most studied of Chinese regional differences, the individualist/collectivist divide is obviously not the only one.
Among business practitioners in Northern and Southern China, those in the latter also had good views on abstract ethics and idealistic (dereistic) conceptions of reality. This figure shows how likely Southern and Northern businessmen to have a bad opinion of each ethical practice (ethical sensitivity). Note that “ethics” here refer to abstract ethical rules in the Kantian sense—in other words, categorical imperatives.

The study makers use sensitivity to mean having a negative disposition to an action. Northerners had less sensitivity to actions that went against abstract ethical principles than Southerners, while also having more sensitivity towards actions that did follow them. Northerners also thought less of idealistic [dereistic] conceptions of reality. They also thought less of virtue epistemology—deducing universal maxims from a priori principles ala Kant. They did, however, act warmly with vice epistemology—understanding why a man would deviate from universal maxims. Southerners, more inclined to follow categorical imperatives, thought less of this variable.
There can be no doubt that the [Northerners] think less of the abstract ethical principles than do [Southerners] and more of concrete situations and complex human relations.
Rawwas, Mohammed YA, et al. “A comparison between North and South business ethics: The concepts of Renzhi and Fazhi in China.” Asia Pacific Business Review 24.5 (2018): 585-601.
From these alone, one should already have grasped a sense of how Northerners and Southerners differ. Thus we may say that these are two different peoples who just so happen to share the same umbrella—that of China, or better yet that of the collective heritage of old Chinese culture. Despite these incidental similarities, however, these two peoples have such different ways of life and worldviews that they have made this matter go at work in wildly different ways.
What About Big Five?
There was only one paper that I found that tackled Big Five. Their focus lay in terrain’s effects on personality, but they also calculated average values per province. They found that
for example, the openness scores for the northwestern Chinese provinces were higher than those of other provinces, and that agreeableness scores were higher in northern provinces than in southern provinces. The mechanism underlying such geographical personality variations was investigated via subsequent data analyses.
Xu, Liang, et al. “Human personality is associated with geographical environment in mainland China.” International Journal of Environmental Research and Public Health 19.17 (2022): 10819.
One look at the distribution of Big Five traits in their study, however, made me suspect their province-level estimates.
One finds the traits haphazardly distributed. Large discontinuities pop up when going province to province. No coherent mechanism, no being-at-work, no coherent data generating process could have made these. One can contest that I’m sticking too close to my priors of north-south differences. With how well-behaved previous traits acted, I stick close to my priors for a good reason.
The study makers took their data from the China Family Panel Studies (CFPS), a project by Běijīng University. Their sampling methodology shows why the Big Five traits look haphazard on the map:
While any national sample would necessarily consist of units that are geographically diverse, such units in different geographic locations are only part of a national sample but do not represent the subnational geographic units (such as provinces) to which they belong, when the larger geographic units (such as provinces) were not used for defining sampling frames. To overcome this problem, the CFPS project chose to oversample populations in five selected provinces (or administrative equivalents): Liaoning, Shanghai, Henan, Guangdong, and Gansu. For convenience, these five are called “large” provinces. With sampling frames within the large provinces, we drew subsamples within them. The resulting subsamples are self-representative of the populations in the five provinces. We collapse the other 20 remaining provinces (or administrative equivalents) together as a large residual group, from which a large subsample is drawn. For convenience, these 20 are called “small” provinces. Note that sampled units within each of the 20 provinces in this subsample are not representative at the province level.
Xie, Yu, and Ping Lu. “The sampling design of the China family panel studies (CFPS).” Chinese journal of sociology 1.4 (2015): 471-484.
No values here thus represent their provinces but for the five “large” provinces listed. The study on terrain and personality used province-level Big Five as target features, so one should take their results with a grain of salt. As they said, household district and county data were censored for privacy, so they were unable to get more granular results.
If we assume that the likes of Liáoníng and Gānsù form one end of a neat spectrum, and Guǎngdōng the other end, with Hénán and Shànghăi in the middle, then we can find that all traits but Extraversion increase as go North—with Extraversion decreasing. We can do a preliminary analysis with rice paddy percentage as our model features. I have requested the corresponding author for the cleaned data, and I will report my results in Part 3.
Summarizing Psychologies
Summarize Northern and Southern psychology thus:
Northern orientation
sensible thinking
practice human affairs in this world
understanding politics and law
hierarchy
empirical work
conservative conduct
self-exertion
revering Heaven
ethnocentric attitude
self-strengthening
Daoist practices
Southern orientation
dereistic thinking
escaping from this world
understanding philosophical reasoning
equality
creative work
disruptive conduct
natural inclination
yielding to the will of Heaven
self-denying attitude
modest and meek
Confucian practices
Roots of the Divide
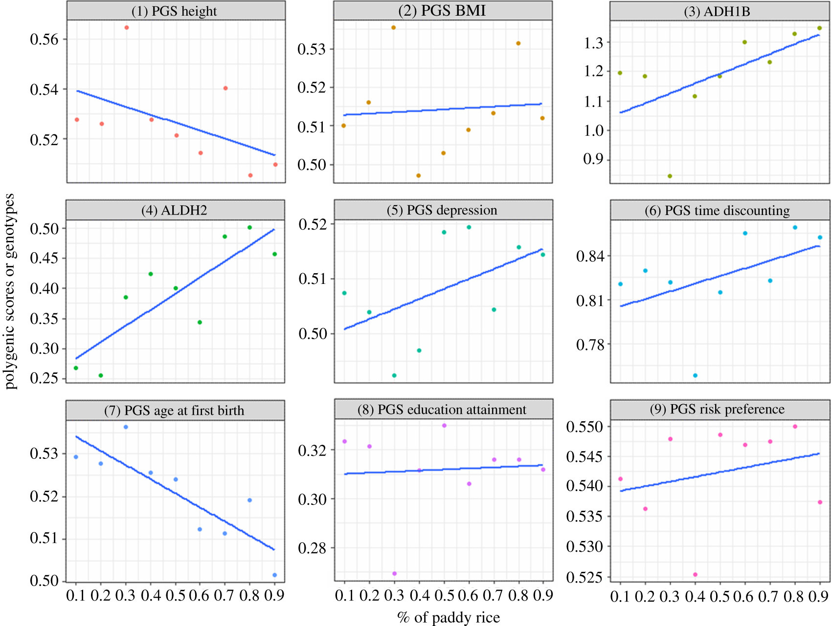
In 2021, a study assessed behavioral polygenic scores—how genes affect one’s personality and actions—among rice and non-rice counties in China. Clear trends appear in the data.
One should note that personality and behavior in general have mostly genetic roots. These psychological differences thus have genetic roots. The above study went on to assess Chinese gene-culture coevolution—how Chinese culture and institutions affected which genes passed down over time.
Institutions obviously favor some people over others. Much of personality and behavior has genetic roots, so by extension these institutions also favored some genes over others. With China and the Chinese, language
Chinese is perhaps the most well-known of the tonal languages, in which a single syllable can convey different meanings according to whether it is spoken in a consistent tone or a rising, rising–falling or falling tone. The distribution of tonal and non-tonal languages corresponds closely with the distribution of two alleles, or forms, of the abnormal spindle-like microcephaly-associated (ASPM) and microcephalin genes. Of course, alleles by themselves do not directly lead to the evolution and use of tonal languages; children with different forms of the genes will still be able to learn tonal languages. A particular genetic predisposition in a population, however, might favour the emergence of languages with particular structural characteristics. It is now possible to study whether there might also be a genetic predisposition to other structural properties, like poverty or richness of inflexion.
Old Chinese, of course, had no tones in it. Tones grew in Middle Chinese as consonant endings faded away, and as the language simplified amid barbarians assimilating into the Han people. Gene-culture coevolution made tone development likely as the Jin Dynasty fell, and societal conditions needed certain genes to survive:
…an evolutionary view of our species clearly makes the assumption of a boringly uniform biological and neuro-cognitive infrastructure for language untenable; there is variation between individuals and populations in almost every aspect of our genomes and phenotypes… there is inter-individual variation in almost any measure related to language and speech performance and for some of this variation there are good reasons to suspect a genetic component, as shown by non-negligible heritability estimates and, in some cases, actual genes involved in their development and maintenance… These biases influence language change in the sense that, depending on the pattern of distribution of biases within the population of language users, some directions of language change are more probable than others.
Dediu, Dan. An introduction to genetics for language scientists. Cambridge University Press, 2015.
Psychological differences easily lend themselves to selection by institutions and societal conditions. Zhu et al (2021) took polygenic scores across China and ran numbers with how rice farming selected for certain genes. Their study found that rice farming by itself caused only two traits to be selected among southerners: early age at first birth, and alcohol intolerance. The first trait has larger implications, however:
In two prospective birth cohorts from two countries, we tested the hypothesis that a polygenic score for age-at-first-birth would predict disinhibition. In both cohorts, participants with lower polygenic scores had poorer childhood self-control, were at elevated risk for externalizing psychopathology, were more likely to have a criminal record, had higher rates of substance dependence, and had more lifetime sexual partners. (Polygenic-score associations with informant reports of disinhibitory problems did not replicate across cohorts, possibly due to differences in assessment age or informant type.) Childhood disinhibitory problems preceded the onset of sexual activity, which helped rule out the possibility of reverse causation (that early pregnancy led to disinhibitory behavior).
Richmond‐Rakerd, Leah S., et al. “A polygenic score for age‐at‐first‐birth predicts disinhibition.” Journal of Child Psychology and Psychiatry 61.12 (2020): 1349-1359.
Southerners thus have naturally higher time preference, as reflected in higher polygenic scores for time discounting and risk preference. Time discounting refers to the tendency to discount the value of delayed versus current rewards—a higher discount rate means a preference for current over delayed rewards. Risk preference refers to willingness to take on risk for reward—higher risk preference also implies a higher tolerance for risky behavior, whether driving, drinking, smoking, or sexual.
One may see this divide in other peoples with a classical rice/millet divide. Largoza and Garcia (2023) found that Cebuanos save more than do Tagalogs. Note that Cebuanos grow millet and maize, while Tagalogs grow rice. Unfortunately, Largoza says that this difference in time preference comes solely from language using a horribly mangled version of the Saphir-Worf hypothesis as rationale. He says this because he assumes a priori that Tagalogs and Cebuanos have a homogenous culture for no reason at all:
We test the linguistic-savings hypothesis using Philippine data on the premise that in this case, speakers of Tagalog and Cebuano are a culturally, economically, and politically homogenous combined sample. That is, there is less cultural and socio-economic variation between the speakers of these two languages, allowing us to isolate the hypothesized effects of language on economic behavior.
Largoza, Gerardo L., and Emmanuel M. Garcia. “Language and Economic Behavior Among Filipino Bilinguals: Two Studies in Honor of Tereso S. Tullao, Jr.” DLSU Business & Economics Review 33.1 (2023): 54-68.
This is obviously not the case. Any cursory glance at Philippine ethnic groups reveals a whole host of cultural differences. Kapampangans are patriarchal while Tagalogs are matriarchal, Tagalogs have centralized rule while other ethnic groups are decentralized, among many other examples. Tagalogs are also notoriously nonviolent, collectivist, and conformist—a stark contrast to other ethnic groups, who don’t (or used to not) grow rice.

Largoza is not a very bright economist. In his university, for example, he moved in favor of changing the class week structure supposedly using past data. Said past data was generated by a different data generating process that changed recently, so his rationale obviously falls apart when one dissects his claims. One should ignore what he writes led to these differences, and instead go to the real root. These differences in time preference obviously come from institutional gene-culture coevolution—the same mechanism as in China.
Now, since only a portion of Southern psychology comes from selection by rice-farming, one must conclude that the rest of the picture comes from Southerners’ migrations from the north. History shows that China saw waves of migration to the South, all following turmoil and societal disruption. Those with the wrong genes could not prosper in such an environment.
Appendix: Japan and Korea
Millet used to prevail as staple in Japan. This dominance led to the Imperial Court’s wane late in the Heian, the rise of the samurai caste and the daimyo, civil wars and power struggles, the Ikki Alliances, the Ashigaru’s spread, all of these culminating in the Sengoku Jidai. By the Edo Shogunate, however, white rice had become a status symbol. Edo itself saw beriberi epidemics as the lack of Vitamin B1 usually gotten from barley and brown rice led to sickness. The samurai became bureaucrats, clerks, and writers, the daimyo grew complacent in their domains, and the Shogunate grew comfortable in its rule. After the Meiji Restoration, rice became the dominant staple in Japan, with 2/3 of the population preferring it. Beriberi would spread through the Imperial Japanese Navy as white rice became staple. Interservice rivalry, collectivism, conformity, all these and more became Japanese cultural hallmarks. After World War 2, white rice as a status symbol combined with the economic miracle and increasing consumerist culture caused millet consumption to die off.
Many articles indicated that people hid the fact that they ate millet. The rapid shift from millet to rice was accompanied by a change in their community from a self-sufficient society to a consuming society. The pleasure of eating white rice seemed to be fully suppressed by their financial problems regarding buying electric products, agricultural equipment, motorcycles, and food.
Mitsui, Takahiro. “A decrease in eating barnyard millet in Iwate prefecture: a literature review of Iwate no Hoken (hygiene in Iwate).” Journal of Ethnic Foods 7 (2020): 1-8.
Japan now embodies Conrad Bastable’s fear. An elite now predisposed to nonviolence, collectivism, and conformity means that its people will follow. The samurai and daimyo families may still excel in scholarly and professional matters, but they have fallen from their heights many centuries ago. It remains to be seen if the old noble vigor will return.
In Kora, rice replaced millet as staple in 300 BC. Climate cooling in the 3rd century, however, made rice growing harder. Millet once again became the staple crop, and rice was relegated as a luxury.
References for this Tangent
Clark, Gregory, and Tatsuya Ishii. Social mobility in Japan, 1868-2012: The Surprising persistence of the samurai. working paper, University of California, Davis, 2012.
Kim, Minkoo. “Rice in ancient Korea: status symbol or community food?.” Antiquity 89.346 (2015): 838-853.
Mitsui, Takahiro. “A decrease in eating barnyard millet in Iwate prefecture: a literature review of Iwate no Hoken (hygiene in Iwate).” Journal of Ethnic Foods 7 (2020): 1-8.
The Ancient North
Sūnzǐ wrote in his Military Methods:
Water shapes its course according to the nature of the ground over which it flows; the soldier works out his victory in relation to the foe whom he is facing. Therefore, just as water retains no constant shape, so in warfare there are no constant conditions. He who can modify his tactics in relation to his opponent and thereby succeed in winning, may be called a heaven-born captain.
Sūn zǐ bīngfǎ, Laying Plans
Northern China faced these same conditions: a harsh environment that flowed with the course of the Yellow River and its floods, with wars, and with the climate’s mercy—or lack thereof. Northern Chinese society saw faster developments because of these conditions. One still sees these developments’ fruits in language:
The third contributing factor to the sharp contrast between the more innovative Mandarin dialects and the more conservative or archaic southern dialects can be stated in sociopolitical terms. As van Driem (1999: 54) points out, languages usually change more rapidly in societies that are rapidly evolving. Northern China has generally been the political and cultural center in Chinese history, where changes in social norms and political systems would often first take place and then diffuse to the south later.
Dong, Hongyuan. A history of the Chinese language. Routledge, 2020.
A harsh environment made its people need to strive for excellence, cultivate the right customs and institutions, and grow in martial and physical skill. Northern China grew as a decentralized realm, with competing local elites, hegemony prevailing over rule, multiple centers of power, and a need for coordination among elite structures. We easily see an analog:
The Fremen, though they live free of the state, represent the potentially oppressive forces of custom. Their harsh environment has imposed on them an unforgiving social code.
Koyama, Mark. “Frank Herbert's Dune.” Available at SSRN 4343968 (2023).
Ibn Khaldun writes likewise of Bedouin tribes living in the desert’s harshness. They lived free from city bureaucracy, pleasantries, and niceties. Instead, they followed the methods and norms passed down to them by their rulers.
The restraining influence among Bedouin tribes comes from their shaykhs and leaders. It results from the great veneration they generally enjoy among the people. The hamlets of the Bedouins are defended against outside enemies by a tribal militia composed of noble youths of the tribe who are known for their courage. Their defense and protection are successful only if they are a closely-knit group of common descent. This strengthens their stamina and makes them feared, since everybody's affection for his family and his group is more important (than anything else). Compassion and affection for one’s blood relations and relatives exist in human nature as something God put into the hearts of men. It makes for mutual support and aid, and increases the fear felt by the enemy.
Ibn Khaldun, Muqqadimah Chapter 2:7
Hence Chris Wickham writes of the North being more “egalitarian”:
The political core of the Chinese state was always in the poorer and more ‘egalitarian’ north; the post-Hàn and post-Táng periods see the shrunken ‘legitimate’ state surviving there, and one might almost say experimenting with new forms of state organisation that might act as a springboard for the reconquest of the richer and more feudal [sic] south.
Wickham, Chris. “The uniqueness of the East.” The Journal of Peasant Studies 12.2-3 (1985): 166-196.
Note that Wickham means “egalitarian” or “hierarchical” in the Weberian sense—the North had a flat societal structure free from bureaucracy outside the central government. One would find, however, that the ancient North—and arguably Northerners today—more closely resemble so-called “white hierarchical individualist males”.
As we learned sometime before, the word 國 (guó) meant city-states and local realms and regimes. This was the context in which the Ancient North developed: a decentralized environment with multiple power centers. Local elites and their retinues had a lot of say in dealing with matters, yet answered to a main center—the ruling dynasty.
Decentralization in the North came with the formation of local elites in the Shāng and Zhou dynasties. The Shāng king acted as hegemon instead of ruler per se. Institutions and customs like hunts, feasts, and ritual sacrifices acted as a “liturgy of power”—common signs and symbols. These allowed coordination between the Shang core and local elites. The Zhōu king, while instituting bureaucracy and organizational complexity, still had to recognize local elites to be his delegates in peripheries. These also joined kings on military campaigns, and exercised rule in the king’s name in his absence. The Ancient North homogenized into a recognizable Chinese culture as elites in different ethnic groups adopted Zhōu institutions. Wealth and income became the main mark of elite status, with rich natives being seen as the same as Zhōu overlords.
As the Zhōu fractured into Warring Polities, developments in ethical and political theory shaped the course of Chinese institutions and societal organization. The Ancient North’s course played into all these, and these in turn all played into the Ancient North’s course.
Tangent on Daoism and Legalism

One might remember that Lijun Gu2 wrote the introduction to Joe Sachs’s translation of Aristotle’s Politics. He also wrote his PhD dissertation on the Confucian Analects:
The central concern of Confucius as reflected in the dialogue of his Analects is on some key issues confronting the stability of a political regime—love, knowledge, justice—and their relations to the “city.” Facing the unprecedented crisis in sixth-century B.C. China, the urgent task for Confucius was not moral preaching, but the restoration of the “city” which was breaking apart due to the collapse of traditional way of ruling.
Lijun Gu, The “Analects” and the Political Philosophy of Confucius
Confucius and his followers started the project of the rectification of names. From a principle of assigning the right names to describe what it is for something to be, they went on to change the world and set things according to categorical imperatives. They wanted to tamper, orchestrate, plan, educate, develop, and propose solutions to anything that did not follow said Categorical Imperatives. The rectification of names and so-called “Doctrine of the Mean” in fact lay the groundwork to name reality and control it—assign reality Kantian categories according to their sensations, then act in accordance to categorical imperatives.
To Confucius and his followers, one must attach himself to labels and categorical imperatives. Benevolence should flow from fitting oneself into these abstract norms.
Restrain oneself and return to the rites—act benevolent. If a man can for one day restrain himself and return to the rites, all under heaven will ascribe perfect virtue to him. Is the practice of perfect virtue from a man himself, or is it from others?
Confucius served as a Chinese precursor to Immanuel Kant. This ancient Chinese Liberalism invited many opponents, not the least of which were those who passed down sayings and quotes in the Dào Dé Jīng (Classic of the Way and Character). While old histories point to one old master—Lǎo zǐ—as having written them, more likely followers of the Way passed them down into organized form. Some have claimed that these sayings and quotes emerged uncoherently—that the Classic of the Way (Dào Jīng) and the Classic of Character (Dé Jīng) have different writing styles, and thus also must have come from different traditions. Quantitative analysis begs to differ:
with the development of the text, a synergic relationship is found in the distribution of verbs and adjectives, indicative of a dynamic and complex self-regulating process of the text development… contrary to the claim of prior studies that they were written by different authors, our stylometric study has quantitatively demonstrated that Daojing and Dejing are not independent of each other stylistically, especially in terms of activity and descriptivity.
Zhou, Haiyan, Yue Jiang, and Letao Wang. “Are Daojing and Dejing stylistically independent of each other: A stylometric analysis with activity and descriptivity.” Digital Scholarship in the Humanities 38.1 (2023): 434-450.
The Classic of the Way and Character set the stage for further developments. Daoism grew stronger as a reaction against Confucianism. For those who now called themselves Dàojiā—the School of the Way—power and virtue all boiled down to excellence and character. Excellence and character boiled down to conformance to reality instead of categorical imperatives. Instead of an abstract Doctrine of the Mean, Daoists followed the real golden mean—stillness and centeredness, that one may have a good grasp on reality.
One sees clear analogies. For Aristotle, contemplation was
the being-at-work [energeia] of the intellect, a thinking that is like seeing, complete at every instant. Our ordinary step-by-step thinking aims at a completion in contemplation, but it also presupposes an implicit contemplative activity that is always present in us unnoticed. To know is not to achieve something new, but to calm down out of the distractions of our native disorder, and settle into the contemplative relation to things that is already ours (247b 17-18).
Joe Sachs, Glossary to Aristotle’s Metaphysics
Likewise, the School of the Way taught that
the Way that can be told is not the everlasting Way.
Classic of the Way and Character, Chapter 1
For things without material, what thinks and what is thought are one and the same. Contemplative knowing and what is known are also the same. The God around which the cosmos revolves around in eternal recurrence is in one sense not separate from what He thinks—Aristotle was a panentheist. Men, by their power of thinking things through (articulation, logos), share in being at work eternally by their contemplation—the intellect being something divine and eternal. Knowledge and what is known are one and the same—being one with the Way gives one power to walk through the Cosmos.
What it means for something to be is the product of “interactions between multiple other mutually reinforcing and contradictory forces”. All these produce an internal activity of material at work—energeia, or being-at-work. Material has potential to host this internal activity—as dictated by the fundamental order of the Cosmos, of course.
Bricks and lumber are material for a house, but have identities only because they are also forms for earth and water. The simplest bodies must have an underlying material that is not bodily.
Joe Sachs, Glossary to Aristotle’s Metaphysics
Men live on for their metabolism remains at work, capped off by their power of thinking things through (in other words, man is an animal with the power of articulation—not “rational animal”). Men had to habituate themselves out of the childhood defect of holding to one principle—that they may freely choose without habit or custom what must be done in each particular situation. To contemplate—to see things at work for what they are at an instant, a thinking that is like seeing—was to circumvent Kant’s claimed inability to properly see things-in-themselves:
For the original Daoists, these underlying trends were impossible describe in words, not so much for mystical reasons as practical [sic] ones: every component is the product of interactions between multiple other mutually reinforcing and contradictory forces. You can’t say that “the Dao is x”, because this necessarily implies the simultaneous presence of x⁻¹ and thus proves your own description at best inadequate and at worst plain wrong. Likewise, it was impossible for one individual to embody the Dao, for the same reason that it is impossible for one individual to embody a football match. The wheelwright’s skill is meaningless without the resistance of the wood to being transformed. Nevertheless, it was still possible for a single individual to get a sense of its general features by repeated experimentation.
Xiangyang City Bureaucrat, The Base Layer

The martial artist trope of unlocking inner power and inner potential stays closest to what the School of the Way taught before admixture with Buddhism. A saying goes that
It is better to be a warrior in a garden than a gardener in a war
Unknown
which sums up the Daoist approach to life:
Though they had boats and carriages, they should have no occasion to ride in them; though they had buff coats and sharp weapons, they should have no occasion to don or use them.
The only real style in fighting is cause and effect. All need to learn fundamental principles in striking and grappling—footwork, economy of force, combinations, et al—yet the winning fighter grasps cause and effect better his enemy does. This winning way has precedent, one may learn from past examples and mistakes, one can heed advice and suggestions, yet the winning way does not exist till one actually follows it, ie, actually wins—hence “the way that can be told was not the everlasting way”. One grasps the winning way in the heat of the moment and acts accordingly. If one makes mistakes, then one learns from them. If the enemy makes mistakes, one uses them against him.
For the purpose of acting, experience doesn’t seem to differ from art [The know-how that permits any kind of skilled making, as by a carpenter or sculptor, or producing, as by a doctor or legislator] at all, and we even see people with experience being more successful than those who have a rational account without experience. (The cause of this is that experience is familiarity with things that are particular, but art with those that are universal, while actions and all becoming are concerned with what is particular. For the doctor does not cure a human being, except incidentally, but Callias or Socrates or any of the others called by such a name, who happens to be a human being. So if someone without experience has the reasoned account and is familiar with the universal, but is ignorant of what is particular within it, he will often go astray in his treatment, since what is treated is particular.)
Nevertheless, we think that knowing and understanding are present in art more than is experience and we take the possessors of arts to be wiser than people with experience, as though in every instance wisdom is more something resulting from and following along with knowing; and this is because the ones know the cause while the others do not. For people with experience know the what, but do not know the why, but the others are acquainted with the why and the cause. For this reason we also think the master craftsmen in each kind of work are more honorable and know more than the manual laborers, and are also wiser, because they know the causes of the things they do, as though people are wiser not as a result of being skilled at action, but as a result of themselves having the reasoned account and knowing the causes. And in general, a sign of the one who knows and the one who does not is being able to teach, and for this reason we regard the art, more than the experience, to be knowledge, since the ones can, but the others cannot, teach.
Metaphysics, Book 1 Chapter 1
Confucians meandering and speculating on ethics led many to believe that if one followed categorical imperatives and their implications, if one chose benevolence and middling actions, then the city and societal relations would remain pristine. They preferred discussion and egg-headed musing over being in the world and seeing it for its beauty. The Daoists and Aristotle saw the world for its complex interplays between forces. They saw how being and identity rest not on labels or attributes or categories, but on active constituency within.
It may escape our notice that, if Aristotle is right, there is no point whatever in the sort of discussion that sets up hypothetical situations and asks what the right thing to do is. Would you press a button that would kill one person in China and avert nuclear war? That was once a popular dilemma that passed for ethical philosophy. A well-known book on ethics began with the plight of a pioneer woman who must kill her baby to save the rest of the family from being found by hostile natives. If this sort of talk strikes you as childish, it may be because you incline toward Aristotle’s view that no action is good or right or just or courageous because of any quality of its own. Virtue manifests itself in action, but only when one acts while holding oneself in a certain way.
Joe Sachs, Introduction to Aristotle’s Ethics
Confucians believed that excellence came from nature, and their rites and categorical imperatives would restore man to his natural freedom from being everywhere in chains. In his Politics, Aristotle makes clear the city’s purpose. Excellence does not come from nature, and habituation is unpleasant to the young. The city and lawmaking turn people excellent through proper habituation—the city is the soil where the seed of excellence grows. In the first chapter of Metaphysics, Aristotle points out how one needs both knowledge and experience for art—skill and craftsmanship in carrying out tasks. Thus the city also lets elders pass down their knowledge and experience, so the young have a headstart in becoming excellent. Hence Aristotle points out the importance of passing down these customs, laws, and institutions:
Now the fact that a lawgiver needs to make the education of the young a matter of concern, no one would dispute… For all capacities and arts there are things related to their work that need to be taught beforehand and made into habits beforehand, so it is clear that this also applies to the actions belonging to virtue. And since there is one end at which the city as a whole aims, it is obvious that there must necessarily also be one and the same education for all the people, and that the concern for this must be public and not private, the way each person now takes care of his own children, and teaches them whatever private lessons seem like a good idea. But training for common concerns needs to be made common as well. At the same time, one should not even regard any of the citizens as belonging to himself, but all of them as belonging to the city, since each is a part of the city. And the concern for each part naturally looks to the concern for the whole. And one might praise the Spartans in this regard, since they take their children the most seriously, and make that a matter of common concern.
Politics, Book 8, Chapter 1
Hán Fēi warned against dereistic thinking and blindly applying rules and abstract ethics without realizing their proper contexts:
Holding halberds and lances is not suitable for the method of the iron spear. Ascending and descending in maneuvers does not reach the midday performance of a hundred techniques. Shooting at an archer-lord [“marquis”] with a lynx-headed bow does not compare to the quick release of a powerful crossbow. Defending the city and repelling charges, does not compare to digging trenches and laying ambushes.
He goes on to explain how proper context and understanding go a long way in government. One must recognize that new situations need proper decision making not bound by abstract ethics or rules:
The old value ethics and conduct, the middle aged seek wisdom, and people today strive for strength and power. People back then had only few, simple matters to deal with. Matters were crude, yet not tiring. Hence people could “push carts” [do their own work]. People back then were few, were close to each other, and had resources aplenty, so they could easily give profits and be pliant. One could even yield all under Heaven just through courtesy. Thus everyone thought that one could rule through courtesy, compassion, and benevolence. Yet we live in a time of many matters. The truly wise would not use tools meant for simpler times. Courtesy does not work in a time of strife. The wise man does not ride a cart pushed by others—he does not govern the same way others have.
With Aristotle’s rationale for the city in mind, and Hán Fēi’s warnings against dereistic thinking, we arrive to a new development in political theory: the School of Methods—better known as Legalism.
Aristotle’s emphasis on training for common concerns finds its way in how a ruler keeps his city. Lord Shāng Yāng infamously said that a ruler must make the people weak and state strong, yet one better renders his quote like so:
Keep peoples’ interests inferior, and the city’s becomes superior. Keep the city’s interests inferior, and the city’s becomes superior.
Like Aristotle, Lord Shāng Yāng emphasizes how one needs no heavy-handed or intrusive government. Instead, passing down what worked allows the city to remain orderly, and the people excellent.
Crooked methods, rule becomes confused. Appoint the benevolent, too much [Confucian ethical] talking. Too many ruling measures, the city in disorder. Too much [Confucian ethical] talking, weak force of arms. Clear methods—few ruling measures. Appoint the strong, [Confucian ethical] talking stops. Few ruling measures, the city rules. [Confucian ethical] talking stops, force of arms is strong.
Here we have Legalism’s origins as Acemoglu’s cage of norms brought to its logical limit. Local elites in Qín lands were expected to uphold custom, keep the peace, and embody the Qín government. The lattermost would not interfere, and would only give rewards and punishments as befits tasks being followed or not. These came from custom, the cage of norms leveraged to keep a well-oiled machine at work. Legalism thus gave a way for coordination between local elites and the Qín government without a monopoly of violence.
Legalism and Daoism warn against having too set a view of the world. New situations will always have novel conditions—paradoxically, the cage of norms sets the foundations for bouncing up to tackle these problems. Learning the rules before bending and breaking them as one sees fit—this was the way for wandering.
by putting all one’s effort into learning the Dao of calligraphy, government, or burglary, one may thereby be vouchsafed a glimpse of the elephant that is the underlying universal Dao. A good king would share few skills with a good chef, but the lessons learnt as a byproduct of acquiring those skills would be broadly the same - the problem being that the years of study required to realise this would mean that each would only ever have time to understand these principles as they related to his own field. Thus, once again, achieving a global definition of the underlying phenomena was rendered practically impossible.
Appendix: How to Read Aristotle
There is only one translator of Aristotle (and arguably Plato) worth reading: Joe Sachs. His introductions and prefaces to his translation sketch out a much different view of Aristotle than what most people are used to. Aristotle came from a time and place far removed from Rome’s clunky bureaucratic abstractions and formalities, and they show in his writings which are clear and straight to the point. Sometimes, he invents new words in a playful way using existing Greek words, mimicking his mentor Plato. These were never equivalent to the Romans’ legal formulas.
The reading order:
Ethics (Introduction—Glossary—Main Text)
Politics (Introduction—Glossary—Main Text)
Metaphysics (Introduction—Glossary—Main Text)
Physics (optional)
These are enough on paper, but there are a couple of nuances that one needs to know.
Joe Sachs changes his mind between releases
Metaphysics was in fact his second translation work for Aristotle, and he would change his mind on some things. For example, he says that “being-at-an-end” is a bad translation (that “being-at-an-end” “misses the point entirely” in his glossary for Metaphysics) for the Greek entelecheia (being-at-work-staying-itself), but his essays for the Internet Encyclopedia of Philosophy exclusively use that translation. He would claim that being-at-work (energeia) as a concept needs to be grasped from examples, whether at a glance or through analogy, and is impossible to define any clearer or more deeply. In Ethics, Joe Sachs gives a straightforward definition of being-at-work in his glossary (I use both versions of his glossary along with XCBureaucrat’s notes on Daoism to provide a more satisfactory definition). His essay on the IEP on Motion gives straightforward examples of energeia, as well as a straightforward definition of entelecheia.
Joe Sachs has clunky translation choices
As that was his second work, Sachs’s Metaphysics is prone to purple prose. His glossary has the worst offenses in that regard. His style noticeably improves into Ethics and Politics. Some choices are still suspect, ie., “fraternal association” for hetairikê instead of brotherhood. His translation thinghood for ousia came from wanting elegant Anglo-Saxon brevity, a desire unfortunately unreplicated in other instances.
Be sensible
Joe Sachs says in his glossary to Metaphysics that seeing is not a motion, merely a being-at-work. Yet in his IEP essay on Motion, he uses seeing as an example of a motion. This might be Joe Sachs changing his mind, or he might have meant “staring” or “looking” in the former and “having vision” in the latter. Be sensible, don’t overthink, don’t dwell on things too much unless the discrepancy is too large to overlook.
The North and the Dào

Daoism perfectly fit the North’s environment. From its frequent wars and lack of monopoly of violence, Military Methods and stratagems developed. Fighting skill and physical strength became prized. From its varied environments and geography, study of the natural world grew. From its many people and communities, culture and character got refined and polished. From the grim life that people there lived, reproductive success selected for intelligence and a hierarchical individualist worldview.
This environment led Lord Shāng Yāng to conclude the same as what ibn Khaldun would more than a thousand years after:
The people, if they are benefited, are harmonious, and if they are loved, they are serviceable; being serviceable, they receive appointments, and being harmonious, they are not deficient. Receiving appointments, they will enrich themselves in government positions, the ruler will abandon the law and allow things to be done for individual interests. Thus criminals will be numerous. If the people are poor, they will be rich in strength, and being rich in strength, they become licentious; being licentious, they will suffer from the parasites. Therefore, if the people are rich and unemployed, they should be made to obtain titles by means of their grain and every one of them will certainly become strong. Then there will be no derogation of agriculture, and the six parasites will not sprout out, and thus, the state being rich and the people orderly, there will be twofold strength.
The wheel of societies and communities turned through the Warring Polities as city states fell and conquered, as peoples grew in harsh environs then luxurious cities. It kept turning even through the Hàn and latter dynasties. The North fell into times of turmoil, then bounced back and reached greater heights. Legalism gave these city states and communities the framework
Legalism, without redistributing or abolishing property, eliminated differences between the rich and poor. Aristotle saw in Sparta what Legalism achieved on its own:
Aristotle finds Sparta to be one of those places that can seem both oligarchic and democratic because it is neither. The Spartans pulled off the rarest accomplishment in the whole political world (see 1296a 36-38) by minimizing, and in many ways eliminating, the difference between the lives of the rich and the poor. The Politics may be said to balance around a point somewhere between democracy and oligarchy, and whatever Sparta’s faults and failures may have been, it found and spent centuries at a spot very near that point.
Joe Sachs, Translator’s Preface to Politics
Legalism exalted citizen landowners and farmers over merchants, butchers, manual craftsmen and tradesmen, and the like. It held that the ruler must turn these into periokoi—second-class citizens, which Aristotle admired in Sparta.
Another analog with ibn Khaldun appears, who notes how religion united the Arab tribes to conquer half the Mediterranean:
the Arabs are the least willing of nations to subordinate themselves to each other, as they are rude, proud, ambitious, and eager to be the leader. Their individual aspirations rarely coincide. But when there is religion (among them) through prophecy or sainthood, then they have some restraining influence in themselves. The qualities of haughtiness and jealousy leave them. It is, then, easy for them to subordinate themselves and to unite (as a social organization). This is achieved by the common religion they now have. It causes rudeness and pride to disappear and exercises a restraining influence on their mutual envy and jealousy.
Ibn Khaldun, Muqqadimah Chapter 2:26
Religion’s effects in social cohesion echo what Lord Shāng Yāng noted about transcendent feelings among people:
If leadership [can] do actions such that people hate them, then people’s interests [really] are inferior [to the city’s]. If leadership [has to] do actions such that people love them, then people’s interests [really] are superior [to the city’s].
All these: decentralized organization, use of ibn Khaldun’s “religion” for coordination, and existence of freeholding farmers and smallholders allowed Northern China to withstand turmoil and disaster:
even these years were ones of more or less effective regional states, not of the total breakdown of the state itself and the tax system. The collapse of the tributary mode, so visible, almost inevitable, in Rome, did not occur. The chief reason for this must have been the existence, in particular over much of the North China Plain, of a free land-holding peasantry. In the north, even in the Qīng period, there was relatively little landlordship; the stronghold of estates has always been the more fertile Yangtse valley. Though there were certainly strong aristocratic families in the north at least until the Táng, the trend of scholarship is to stress the dominance of a free peasantry in the Yellow River valley throughout historical times.
Wickham, Chris. “The uniqueness of the East.” The Journal of Peasant Studies 12.2-3 (1985): 166-196.
Social cohesion—assabiyah—formed the bedrock on which Northerners stood strong through through centuries. Local elites and their peoples formed China’s lifeline, from the Shang hegemony, through Zhou kingship, to the Han’s foundation and fall, all the way to the Táng:
The aristocracy were older than the unified state, and the Hàn recognised the independent powers at least of the greatest aristocratic clans of the north. Such independence was certainly in part an ideological feature, in that such aristocrats did not depend on state office-holding for their self definition; but we have reference to the effective political control they had locally, as well.
Wickham, Chris. “The uniqueness of the East.” The Journal of Peasant Studies 12.2-3 (1985): 166-196.
As we explained in the introduction, a culture of roaming heroes and vigilantes grew. These saw action even for all of China’s history, from the chaotic Warring States, through the so-called centralized Hàn Dynasty, even all the way up to before the Míng’s foundation. The north’s martial culture saw grappling and wrestling as popular martial arts. The north’s wide plains also led to cavalry’s dominance in the battlefield. Creative stratagems, tactics, and operations owed their existence to the north’s environment of flux and flow.
Unique to the ancient North’s culture were the fāngshì 方士. These were folk polymaths well-versed in many fields, who offered their services to town and village folk across the land.
Sīmǎ Qiān uses the terminology [方士] to describe practitioners of diverse techniques, skills, arts, and ways, who entered the court from outside, and who were not primarily versed in the Five Classics, but who achieved prominence with learning in an alternate canon of material and occult arts or ploys of an unconventional sort.
DeWoskin, Kenneth J. “A Source Guide to the lives and Techniques of han and Six Dynasties Fang-Shih.” Society for the Study of Chinese Religions Bulletin 9.1 (1981): 79-105.
Today, 方士 means “alchemist” or “necromancer”. This connotation is a new one, however. The 方士 worked in the sensible world. They helped craft China’s first strides into understanding nature and the Cosmos. They worked on efforts to observe, abstract [“subtract” as per Aristotle], and apply the rules of nature to predict what would happen. On top of all these, they used their learning and knowledge to help people on the local level.
At the heart of ancient Taoism there was an artisanal element, for both the wizards and the philosophers were convinced that important and useful things could be achieved by using one's hands. They did not participate in the mentality of the Confucian scholar-administrator, who sat on high in his tribunal issuing orders and never employing his hands except in reading and writing. This is why it came about that wherever in ancient China one finds the sprouts of any of the natural sciences the Taoists are sure to be involved. The fang shih 方士… were certainly Taoist, and they worked in all kinds of directions as star-clerk and weather-forecasters, men of farm-lore and wort-cunning, irrigators and bridge-builders, architects and decorators, but above all alchemists. Indeed the beginning of all alchemy rests with them if we define it, as surely we should, as the combination of macrobiotics and aurifaction.
Joseph, Needham, and Lu Gwei-Djen. “Science and Civilisation in China, Volume 6 Biology and Biological Technology, Part VI: Medicine.” (2000).
Of course, they would charge for their services and were not altruistic. Such was the labor market in ancient Northern China, that polymathy proved lucrative.
These fāngshì polymaths worked outside of government control and practices. By the Hàn Dynasy, they came not from traditional court families or from centers of power. Instead, they came from the peripheries. Thus their “recognition” lay at the local level. The Hàn Emperor Wǔ’s centralizing reforms went on to hurt them. The Imperial Court would uphold classical texts and contention over how to understand them. Works and ideas by Confucius and his followers gained praise. Court scribes and officials derided the fāngshì for lack of civility, boorishness, and ugliness in their crafts. Few achieved positions in the capital, and of those who did, virtually all were the first in their families to gain imperial recognition.
Reading through the canon of narratives, one can assemble a picture of the fang-shih and his world, a picture of a character with ambitions, but one with a tenuous hold on his power and status, struggling to maintain himself in a societal niche between the people and officialdom, maintaining and refining intellectual and technical esoteric traditions, and indulging a broad curiosity about the workings of the physical world.
DeWoskin, Kenneth J. “A Source Guide to the lives and Techniques of Hàn and Six Dynasties Fang-Shih.” Society for the Study of Chinese Religions Bulletin 9.1 (1981): 79-105.
The fāngshì lived out Daoist thinking, and even foreran organized Daoist practice later on:
The original Daoist thinkers seem to have preferred to do without a specialists technical vocabulary as a means of preserving the ideas themselves within a primarily oral transmission. Hinting at a deeper truth would provoke genuinely dedicated students to investigate for themselves and develop a deeper understanding rather than merely memorizing lists of words for the test. Despite having words for none of these things, the classical texts nevertheless demonstrate a clear understanding of what we would call game theory, fat-tailed distributions, dimensionality of data and much else, but the authors’ inability and/or disinclination to assign them specific technical terms and lack of a higher order mathematical-logical languages to quantify them has led to their neglect.
Xiangyang City Bureaucrat, The Base Layer
The fāngshì sought to be one with the Way through newly formed technical disciplines. By the Hàn Dynasty in fact, men started calling them the Dàoshì—noblemen of the way. Among their methods ranked meditation, medicine, alchemy, and ways to alter consciousness. These esoteric fāngshì practices developed into organized Daoist rituals and rites, especially in conjunction with newly arrived Buddhism. Far from escaping samsara, however, Daoism taught how to wander most effectively. Immortality, whether physical or spiritual, became Daoism’s most prized goal.
I personally believe that the Monroe Institute and its Project Gateway hold the keys for Daoism’s next steps.
CS Holling summarizes psychological needs which one would find perfect for living in the North:
…the need to keep options open, the need to view events in a regional rather than a local context, and the need to emphasize heterogeneity. Flowing from this would be not the presumption of sufficient knowledge, but the recognition of our ignorance; not the assumption that future events are expected, but that they will be unexpected. The resilience framework can accommodate this shift of perspective, for it does not require a precise capacity to predict the future, but only a qualitative capacity to devise systems that can absorb and accommodate future events in whatever unexpected form they may take.
Holling, Crawford S. “Resilience and stability of ecological systems.” Annual review of ecology and systematics 4.1 (1973): 1-23.
Daoism’s popularity, a Daoist and Legalist approach to military and societal organization, the yóuxiá, all these institutions and cultural elements embody this same Northern psychology. Those unfit for such kind of living—genetically or otherwise—would have to find greener pastures.

From Daoism, we also see how real Mathematics always trumps Physics even in modelling the natural world.
Neural networks have even reduced the need for so-called “physical intuition” in this exercise of glorified curve fitting. Many more examples exist of this hip new way to derive ansatz solutions—just search them!
Migrations South to Rule All Under Heaven
The North’s environment proved too harsh and dynamic for those who could not grow enough psychological resilience and antifragility. Migrations to new lands down south proved an attractive option for these people and their families. Their genes would spread down. Both that and their psychology formed the cornerstone of Southern Chinese institutions:
In a society centered with patrilocality and patrilineality, men possess both cultural and political dominance. This would make society members less motivated to change their life style, but rather maintain their customs for generations. As we mentioned above, patrilocality and patrilineality are indigenous to traditional Chinese culture and are still being practiced in the countryside of China. The same mechanism that keeps coevolution of Y chromosome and language would therefore also operate in Chinese populations.
Hu, Sheng-Ping, et al. “Dominant contribution of northern chinese to the paternal genetic structure of Chaoshanese in South China.” Biochemical genetics 49 (2011): 483-498.

These genetic differences even show up in the distribution of surnames. A 2019 study calculated surname character similarity and distribution throughout Chinese prefectures. They did so by creating a metric based on the exponential power-law distribution’s inflection point (the CRSED index). Prefectures with lower CRSED values have less similar surnames than other prefectures.
The South preserved surnames which had developed there for close to a millennium, while the North’s ebb and flow saw its surnames become more uniform. As with the last quote, these historical developments have left their mark today:
…for prefectures in Group I (or Isolated Regions) whose surname distributions look most like power‐law function, the main source of new surnames should be mutation from local residents. Thus, it is reasonable to presume that the rate of appearance of new surnames is proportional to the population size, resulting in a power‐law‐like surname distribution in these prefectures according to the model. On the contrary, for prefectures in Group IV (or Reclaimed Regions)… the population consists of a large portion of migrants who could bring new surnames into the area. Since most migratory movements were driven by external forces, the rate of new surnames from migrants should be irrespective of the local population size; thus, the prerequisite for a power‐law surname distribution is violated. Additionally, most immigrations at the prefectural level were discontinuous; thus, new surnames likely appeared nonlinearly in time, disobeying the prerequisite for a logarithmic surname distribution as well. As a result, the surname distributions in these areas must follow a new kind of function.
Chen, Jiawei, et al. “An index of Chinese surname distribution and its implications for population dynamics.” American Journal of Physical Anthropology 169.4 (2019): 608-618.
These surnames characters developed with Southern languages. The South, full of mountains and hills, could leave entire groups of people isolated. These had the effect of shielding peoples from war, societal turmoil, and evolutionary pressure. Archaic Chinese features from Old and Middle Chinese held for much longer. Fújiàn alone has so many languages, that they need Mandarin and Hokkien as lingua francae. Cantonese also preserved so much from Middle Chinese, that Cantonese speakers can understand Middle Chinese as an odd dialect of Cantonese.
Southern and Northern populations had already separated by the Sòng Dynasty. The surname distribution had become stable even before the Jīn Dynasty took over what was left of the Northern Sòng:
Surname phylogenetic dendrogram analysis demonstrated that the Han Chinese had been segregated into North and South two parts in Song dynasty of 1000 years ago. Wuyi and Nanling Mountains divided Northern and Southern Han populations into the two major parts of Han Chinese. The results also showed that the surname distribution of Song dynasty 1000 years ago was quite similar to the present model. The 100 high frequency surnames in Song dynasty were well corresponded with the current surname distribution. This phenomenon suggests that Chinese surnames have been steadily transmitted from ancient to the present.
Yuan, Yi-Da, et al. “The study of the distribution of Chinese surnames and the diversity of genetic population structure in the Song dynasty.” Yi Chuan xue bao Acta Genetica Sinica 26.3 (1999): 187-197.
The Sòng would see Southerners prevail over Chinese government, institutions, and culture. Even as the Míng and Qīng took over, Southerner dominance would still show itself in the Guómíndǎng and the Communist Party.
One must explain, however, how such a psychological profile achieved dominance through all China, for the North’s psychology ruled a thousand years, and the break into succeeding Southern dominance . One finds that Southern ascendancy began at the end of the Táng Dynasty. The north’s elites did the unthinkable and congregated in the capital of Luòyáng. Well-known men of wealth, character, and family lines sold off their rural estates. Unlike nobles in other places like Ancient Rome or the Ancien Regime, Táng elites would not trust their lands to anyone but family members—who had already moved elsewhere even before the main family lines did. The Táng Imperial Court also sought to redistribute land, thus limiting property sizes. The new religion and philosophy of Buddhism, coupled with a resurgent Confucianism in the Imperial Court made large material wealth seem socially unattractive. The latter also made elites focus on hiring tutors and building libraries of classical texts to ensure their children’s prosperity.
Like the samurai almost a thousand years after, and the Roman elite just a few hundred years before, the Northern elite had started seeing bureaucracy as prestigious. Elite parents convinced their sons to join the civil service and become bureaucrats. Military skill and physical prowess started giving way to meandering discussions on ethics and categorical imperatives. Physical capital and close-knit community gave way to social capital in an atomized capital city with low social cohesion. The Northern elite found that helping the Táng with their project of a renewed societal complexity more preferable than any chance of resisting Imperial power in the countryside all for social prestige.
Members of the network rapidly came to dominate the offices that controlled the reproduction of the bureaucracy—notably the offices of chief minister, minister of personnel, chief examiner, and provincial governor. They were thus able to coopt as officeholders successive generations of their own relatives and acquaintances. This network was by no means destined to collapse with the end of the Tang regime. If the transfer of power had consisted of a palace coup or an uprising led by a member of the former regime—as had indeed been the case in the earlier founding of the Sui and Tang dynasties as well as of the abortive regime of An Lushan—a new dynastic founder might well have been expected to harness the previous bureaucratic infrastructure. He would, thus, have depended on a substantial contingent of the capital network to staff his administration. These men would then have brought in their relatives and acquaintances to serve beneath them, and so the old families would have survived yet another change of regime.
Tackett, Nicolas. The destruction of the medieval Chinese aristocracy. Vol. 93. Brill, 2020.
No palace coup came, however. In 880, Huáng Cháo led a rebellion that captured both Táng capitals. Many of the elite died in the sacking. Many more died in the next quarter century of violence and war. The Northern Elite had given up so much of what made them strong and powerful in the first place, that they could no longer endure the same conditions that had allowed their rise. As new regimes appeared all over China in the 10th century, the once all-powerful network of Northern elites had fragmented into shambles. Surviving family would make up only few members in the new courts, where they would no longer influence court policy or keep their control over government and society.
The Northern elites had ruled for a thousand years, not from government fiat, but by their own psychological profiles, their own lineages, and their own personal characters.
Despite political upheaval and despite these fundamental economic and institutional transformations, a great many of the old families managed to adapt to the changing circumstances, retaining their political dominance until the final years of the Táng dynasty. As late as the mid-ninth century, descendants of pre-Táng great clans continued to occupy the lion's share of central government positions, while also monopolizing offices all across the empire, both at the prefectural and county levels, and within the newly established provincial bureaucracies. Yet at the end of the ninth century, after having maintained themselves near the pinnacle of political power for the better part of a millennium—far longer than, for example, most French noble families on the eve of the French Revolution—they disappeared suddenly from the scene. By the founding of the Song dynasty in the second half of the tenth century, they had almost entirely vanished from the historical record.
Tackett, Nicolas. The destruction of the medieval Chinese aristocracy. Vol. 93. Brill, 2020.
The aristocracy’s downfall meant not that their lines were exterminated, of course. Cáo Cāo and the Cáo family, for example, still have living descendants across Mainland China. A tooth from the Cáo family tomb allowed verification for these claims and traditions of descent.

Most descendants stayed in the North, though some branches of Cáo Cāo’s direct descendants—and some larger Cáo family members—live South of the Yangtze.

The Northern elite’s destruction paved the way for a new elite—and with them, a new China.
When the Song dynasty was founded in 960, the time of the Táng aristocratic elite, the great families, had ended long ago. The officials who replaced them in positions of government and administration no longer originated from a hereditary nobility furnished with birthrights. They were a status—not a hereditary— group. Thus, the Song dynasty became the epoch of civil service families, who on the basis of education and examination formed bureaucratic lineages able to perpetuate themselves.
Kuhn, Dieter. The age of Confucian rule: The Song transformation of China. Harvard University Press, 2011.
The Sòng emperors feared military talents, those who nurtured physical strength and excellence, those who knew the art of war. Their fears spread to a growing class of Confucian scholars. Horseback polo and hunting, long past-times among even common people in the North, became objects of derision and mockery.
To end any hope of rebellion or uprisings, the Sòng Imperial Court began the civil service examinations. A new elite base sprang from the South. Instead of the Dào or the use of methods, this new elite preferred meandering talk of rectifying categories, of staying to the mean as an imperative.
Northern Sung rulers chose civil service examinations to limit the development of alternative military and aristocratic power centers and to draw into their government the sons of elites from newly emerging regions in South China. Deftly appropriating the civilian values of Confucianism to legitimate the institution of fair and impartial bureaucratic channels to select officials, which theoretically were open to almost all Chinese regardless of social background, Sung emperors put in place an examination system that would occupy a central institutional position in Chinese government and society until 1905, when the civil service examinations were abolished.
Elman, Benjamin A. “Political, social, and cultural reproduction via civil service examinations in late imperial China.” The Journal of Asian Studies 50.1 (1991): 7-28.
One may see the early Sòng’s love of benevolence under Heaven in revealing incidents near the Northern border.
In 1041, reports arrived at the Song court that a pair of Liao farmers, named Nie Zaiyou and Su Zhi, had crossed the border near Daizhou in Hedong to cultivate land several kilometers within Song territory. A few years later, Ninghua Military Prefecture announced a similar case of encroachment by another “northern agriculturalist” named Du Sirong. For the sake of maintaining peace, the Song court initially ordered the Daizhou authorities to shift the border stones further south.
Tackett, Nicolas. The origins of the Chinese nation: Song China and the forging of an East Asian world order. Cambridge University Press, 2017.
Border matters characterize how Sòng Court governed the Empire. It spent many resources in setting clear borders through border-stones and fences. Earlier dynasties took advantage of natural obstacles when building walls and fortresses. The Sòng, however, preferred actualizing a mental vision of what the border ought to be. The Imperial Court seemed much invested in this program, that it managed it all the way from the capital instead of letting local governors handle border matters. Imperial archives held many maps and documents that played into micromanaging the frontier.
Imperial soldiers could not deal with nomads or raiders, yet they did deal with Northerner farmers and frontiersmen. They forced many freeholders north of the Yellow River off their lands. They banned locals from cutting down trees which the latter’s forefathers had been using for homes and tools for millennia. Soldiers and bureaucrats cared not if their moats and ditches flooded locals’ villages or farms—or even cemeteries.
Locals responded in kind. They violated bans on traveling to nomad-controlled lands to farm, to fetch water, to find brides, or even to gamble. They fished in rivers that sometimes marked borders with other realms—and in which Imperial bureaucrats banned them from fishing. Northern families especially benefited from trade with those across the new border—something the Imperial court detested the most.
The last few military greats in Chinese history all came from the North. Yuè Fēi and his friends and fellow generals were Northerners, full of martial vigor and physical prowess. They had read of stories of the Warring States, of the Han Dynasty’s rise, of the Three Kingdoms, of many feats of physical prowess, strategic wit, tactical wisdom, and martial skill. On the other hand, the chancellor Qín Huì and his corps of bureaucrats were truly Southern officials, who set the seeds for a new Empire—and with it, the rise of what we have come to know as modern China.
By 1250… the transition to a central and southern based Song Empire, whose capital was in the Yangtze delta city of Hangzhou, symbolized the economic dominance of South China and the emergence of the bureaucratized shi as the “best and brightest” in the land. Composition of the elite in China changed in revolutionary ways between 750 and 1100. Decline of the great aristocratic clans, which began in the years after the An Lu-shan Rebellion coincided with the rise to prominence of southern literati in national politics in the late 10th century. The disruption of the continuity of the great families of medieval China was complete.
Elman, Benjamin A. A cultural history of civil examinations in late imperial China. Univ of California Press, 2000.
Despite these Northerners’ loyal service to the Emperor, they fell not to invading Jurchen tribes, but to Southern intrigue and politicking. The chancellor orchestrated Yuè Fēi’s execution. The Imperial Court would realize their mistake not soon after. By that time, however, Imperial governance had completed the motion at work since the Táng.
The Southern way of life lay diametrically opposed to the North’s. Boys would enter a private primary school at 8. The best would go to a public prefectural college at 15. The Northern elite, the fāngshì polymaths, all the way up to Yuè Fēi and his peers and companions had engrossed themselves in multiple disciplines and fields. This new order, however, bred people like unto insects: those who entered the college could not farm, and those who farmed could not enter the college. Families disowned their sons if they took up careers contrary to their wishes, especially a martial life.
“Good men should never become soldiers, as good iron should not be used to make nails.” Physical exertion ranked low among members of the upper class, and the use of muscles was viewed as unseemly. Young men were taught to be polite and gentle.
Kuhn, Dieter. The age of Confucian rule: The Song transformation of China. Harvard University Press, 2011.
Those in the college would pass prefectural level exams. Some would opt to enter the Imperial University instead of a prefectural college. These would have to study for 500 days. Either way, all their efforts led to the defining moment of their lives: the jìnshì 進士 exam. Candidates wrote essays on Confucian classics and formulated clerical documents based on their principles—or rather, long passages memorized multiple times. They would write poems conforming to the imperative style, as categorically mandated. Many would fail, then fail again multiple times before finally passing.
The ultimate test of any educational system is how well it prepares students for the demands of a changing society, how efficiently it achieves this mission under both normal and stressful conditions, and how it innovates in the face of new challenges. Considering the long and peaceful rule of the Song in the eleventh century and over many decades in the twelfth and thirteenth centuries, we can reasonably conclude that the Song system of education, examination, and recruitment of civil service officials, developed at the beginning of the dynasty, passed this test with flying colors. Song scholar-officials laid the foundations of a bureaucratic system that would last for more than a thousand years.
Kuhn, Dieter. The age of Confucian rule: The Song transformation of China. Harvard University Press, 2011.
Even when the Sòng still held lands North of the Yellow River, the bureaucracy quickly became bloated. The final move South only made things worse:
In any one year, the number of active officials who held the jinshi degree ranged from 5,000 at the beginning of the eleventh century to 10,000 in the early thirteenth century. In 1046 this highly qualified work force filled just over a third of the bureaucratic positions that existed (7,085 of 18,700 positions). The disproportion grew dramatically worse in the Southern Song—only 8,260 jinshi degree-holders for 38,870 positions in 1213.13 Under the Northern Song Emperor Huizong, the bureaucracy ballooned to over 50,000 jobs, and the Southern Song never corrected this deplorable state of affairs—even though the territory to be governed had been reduced in size by roughly one third.
Kuhn, Dieter. The age of Confucian rule: The Song transformation of China. Harvard University Press, 2011.
With such an overbloated bureaucracy, competition became rife among Southerners. They flaunted their benevolence and kindness to all Under Heaven in vain hopes of finding even the lowest spot in the bureaucracy. They hoped to impress exam checkers with rhetorical and poetic flourishes—all in conformance to benevolent and ethical principles, of course.
If all the above sounds familiar, it very well should. The collective Southern Chinese psyche—arguably even post-Second World War Japan and Korea, maybe even include post-PRC establishment Philippines—finds its roots in this travesty of a societal organization. To any Westerners reading this: you can pin your quote-unquote “Asian” peers’ actions and those of their families to the South.
What I experienced and realized studying in a quote-unquote “prestigious” Philippine university held doubly true for the South3:
Rather than being a meritocratic tool of social engineering, the civil service examinations were designed to ensure exclusivity at the top. Assuming that the Song dynasty, over its entire course, employed 220,000 officials and that in any given year roughly 20,000 officials were active as civil servants, this would mean that around the year 1100 only 0.02 percent of the population of 101 million people held office in the bureaucracy. The roughly 5,000 officials with the highest degree represented only 0.005 percent of the population, a figure that remained steady in the thirteenth century. Around 1200, when the population sank to 63 million, the figure of the metropolitan and prefectural degree-holders may have risen to 0.102 percent. Compared with the population as a whole, what the number of officials demonstrates is the absolute dominance of a few hundred, perhaps a few thousand, families at any given time.
Kuhn, Dieter. The age of Confucian rule: The Song transformation of China. Harvard University Press, 2011.
Confucianism truly found its golden age during the South’s ascent. Zhū Xī—a central Fújiàn native—formulated Confucianism’s equivalent to Neoplatonist metaphysics. He also wrote authoritative prescriptions for Southerner families to follow. These concerned rites and rituals, all serving to instill a worldview that one needed to follow rules without thinking—besides, of course, the meanderings needed to derive maxims one needed to follow universally. Daoist metaphysics of being-at-work and ethics of excellence and effortless action fell by the wayside. A new order, first envisioned by the Emperor Wǔ more than a thousand years past, finally came upon China.
large-scale lineage organization deriving largely from Confucianism was highly developed in South China, while most popular religious beliefs and practices with strong Taoist elements were historically prevalent in the North.
Young, Lung-Chang. “Regional stereotypes in China.” Chinese Studies in History 21.4 (1988): 32-57.

This golden age of Confucianism led the new elite to craft imperatives of what China categorically should have been. The Notherners, once derided for semi-barbarism, provincial hubris, and fierceness, were now seen as the exact same people as those in the South. Thus the concept of the “Hàn people” appeared. Southerners lay dreaming of Northerners as lost brothers who would rekindle kinship with them when the right moment appeared, as dictated by Heaven. So when the Imperial Court grew rich and wealthy down South, it set about on making those dreams reality.
In 1206, the Southern Song chief minister Hán Tuōzhòu (1152–1207) initiated a reconquest of Jurchen-controlled North China, basing his overall strategy on the assumption that the population of the region would, eighty years after the Jurchen invasion, still feel loyalty to the Song and join forces with its army. He was wrong; the population of North China did no such thing. As a result, the Song armies were annihilated, and Han lost his head (which was sent to the Jurchens in a box as part of the ensuing peace agreement). In all of these accounts of Han ethnic loyalty, one cannot know for sure what the “populations left behind” really thought… But the repeated failure of Song armies to find the allies they hoped for in enemy territory at best suggests Song political elites overestimated the strength of Han ethnic solidarity.
Tackett, Nicolas. The origins of the Chinese nation: Song China and the forging of an East Asian world order. Cambridge University Press, 2017.
But how could have Northerners recognized these invaders as their own? For starters, Northerners had begun speaking a new language—the first steps of what we would now call Mandarin. Southerners had kept to speaking ever more divergent dialects of Middle Chinese that would become Southern languages.
Could Northerners have also recognized Southerners as their peers, when the latter’s family structures had shifted into a horribly deformed parody of a parody?
Foot binding made women dependent on the master of a household, and the subjugation of women to men continued from the second half of the thirteenth century until the end of the empire. The ideal upper-class man also changed over the course of the Song. He was thought to be a refined person of slim stature and effeminate behavior. For many of these men, the small steps and movements of women with bound feet may have had an irresistible erotic appeal. The unbound foot may have been seen as a private part of a woman’s body—not unlike genitalia—and the ritualized, eroticized unbinding of the foot may have aroused the male libido. But the women who practiced and popularized foot binding could have been responding to another change in Song times: the presence of concubines in the household and the growing entertainment market that was transforming girls and women into commodities.
Kuhn, Dieter. The age of Confucian rule: The Song transformation of China. Harvard University Press, 2011.
Northern men would have scoffed at any notion of Southern men being brothers when the former exalted physical strength and prowess, and the latter exalted whatever that was. Southern women also became horribly deformed in Southerners’ vain pursuit of Southern vanity.
Also see how preferences in women changed, and how we got the ideal Japanese and Korean (and Southern Chinese) body type for girls:
The polo-playing, horse-riding ladies of the Tang dynasty, not to mention the voluptuous and well-fed concubines of that time, were a far cry from the feminine ideal praised by Song literati and painted by artists. The perfect woman was smaller than a man, slender, soft, and fragile.
Kuhn, Dieter. The age of Confucian rule: The Song transformation of China. Harvard University Press, 2011.
I will let Kuhn wrap up this section, for I have grown bored of writing, and I will stick to quantitative and mathematical pursuits for the next year or so:
The distinctive qualities of Song statecraft formed part of a larger system of Confucian ethics that reached into every corner of Song society and influenced individuals from birth to burial. Yet Confucianism itself was reshaped and rationalized during this time, to open up new possibilities in the design of capital cities, in commerce and fashion, technology and science, painting, music, and literature. The revamped Confucian ideology that emerged from the philosophy of the Cheng brothers, Zhu, and other Song philosophers, its rationality and worldliness, permeated all levels of society and formed the bedrock of Chinese culture until the Communist Revolution. Nineteenth- and twentieth-century reformers excoriated Neo-Confucianism as a rigid system of thinking that prevented China from undertaking social and educational reforms and adopting technological advances. But as lively discussions in the Ming and Qing dynasties make clear, the “traditional” values inherited from the Song Neo-Confucians and handed down from generation to generation informed an understanding of chineseness and reinforced a sense of cultural identity that more than six centuries of political adversity could not shake. Though often attacked, the ethical system of “traditional China” helped to safeguard the nation from intellectual and cultural fragmentation or political disintegration
Summing them Up
The Northern Chinese faced an environment that fostered Daoism’s development and growth. They extolled low time preference, physical prowess, self-cultivation through experience and excellence, and they had good social cohesion. The Southern Chinese came from those psychologically unfit to live in the North, and became an amorphous blob of ant people.
I refuse to elaborate this summary further or make it more elegant with how sick I am of writing.
To illustrate how stark these differences are, simply look at these odds ratios for becoming a victim of bullying across China:

With Beijing set as reference, Southerner provinces (Guǎngdōng, Guìzhōu, and Hunan) all have higher odds of becoming a victim of bullying compared to the North (Beijing, Gānsù, and Liáoníng). Only Jiāngsū stands out as a Northerner province—though part of it does lie in the South (Wú speaking areas).
Southern provinces thus have more dangerous schools for children than Northern provinces. The North had a martial culture and a lack of monopoly of violence. These imprinted genetically on the Northern population, leading to a student body more trusting and more prone to use deterrence. Northern genetics express themselves real well from a young age, as do Southern ones.
For reference, here are the types of bullying reported:
Statistics on the odds of becoming a bully, however, were much odder. No significant values exist in those results—which means that the odds of becoming a bully are the same anywhere in China. For becoming both bully and victim, however, Hunan province has much higher odds than Beijing, while Guǎngdōng has slightly lower odds—the only significant results
I believe that there is underreporting about perpetrators in Southern provinces. The bully-victim ratio must be much higher there if the odds of becoming a victim are also higher. The only other explanation is that elite cliques of bullies victimize everyone else—an idea full of nonsense. Japan and Korea have high bully to victim ratios, and so does Hong Kong:
Lam et al. (2015) employed a latent class growth analysis to examine bullying and victimization patterns among 536 students in junior secondary schools (grades 7 to 9) in Hong Kong. They found four distinct latent classes: neither bully nor victim (78%), bullies (10%), victims (3%), and bully-victims (9%). They also reported that students enrolled in schools with comparatively low academic performance tended to be classified into the group of either victim or bully-victim.
Hu, Ran, Jia Xue, and Ziqiang Han. “School bullying victimization and perpetration among Chinese adolescents: A latent class approach.” Children and Youth Services Review 120 (2021): 105709.
The study cited used latent class analysis—authors used a method specifically designed to discover hidden/unreported patterns. This next study in Guǎngdōng proves more revealing. Again, bully victims are a very small minority, with (presumably) perpetrators and the uninvolved more numerous:
most of the students (84.2% of boys and 93.7% of girls) had minimal probabilities for each victimization item and were classified into the low victimization class… For the remaining students, characteristics of the item probabilities in the latent classes differed between boys and girls. There was a small number of students (0.56% of boys and 0.72% of girls) who were classified into the high victimization class, wherein boys had a high probability greater than 0.70 for each item. For girls in this class, the item probabilities were found to be heterogenous; they had high probabilities greater than 0.70 for items 1, 2, and 4, representing verbal and relational victimization and had a moderate probability approaching 0.50 for item 7, representing cyber victimization, whereas the probabilities for the other items were relatively low, ranging from 0.20 to 0.30. The moderate victimization class accounted for 2.8% of boys and 5.6% of girls and showed a similar contour of the probability plot to that of the high victimization class of the same gender. There was an extra group among the boys that we identified as the verbal victimization class. It comprised 12.4% of boys, all of whom reported “being called mean names, made fun of, or teased in a hurtful way” but had minimal probabilities for the other items.
Zhang, Sheng, et al. “Patterns of bullying victimization and associations with mental health problems in Chinese adolescents: A latent class analysis.” International journal of environmental research and public health 17.3 (2020): 779.
We see the fact plain and clear in Cantonese schools. With all we know, we can extend this new knowledge. Southern China must have a higher bully to victim ratio in general.
In this video,
Annie Jin (Aini) noted that she failed to see a high bully-victim ratio in China. This was simply because she looked at China in aggregate, and failed to see the regional breakdowns. Southern China, as expected of a Confucian, collectivist, rice growing people, has a higher bully to victim ratio.
A clear implication is that Southerners are not just uptight Confucians, but snakes too. It took a latent class analysis—specifically designed to discover hidden/unreported patterns—to uncover the reality of a high bully to victim ratio there! Like in Japan and Korea, everyone stays quiet about who does what—yet no one stays safe from Maths and Statistics.
Data from:
Han, Ziqiang, Guirong Zhang, and Haibo Zhang. “School bullying in urban China: Prevalence and correlation with school climate.” International journal of environmental research and public health 14.10 (2017): 1116.
Appendix: Tearing down a study
Annie Jin also made a video which piqued my interest:
Some researchers performed a study in a Fújiàn university. When asked to get a reward of CNY 5 or CNY 10 for joining an experiment, students chose the smaller amount:
The majority of our participants (64.5%) appeared to have behaved consistently with those reported in The Three-Character Classic (三字经) and the Italian proverb: 40 out of the 62 participants selected the smaller amount of monetary payoff (c.f. smaller pear), χ2(1, N = 62) = 5.226, p = .022, phi-squared = 0.290. More participants selected “red packets with ¥5” under the lecturer condition (68%) compared with those under the fellow student condition (61%). However, the difference did not reach statistical significance, χ2(1, N = 62) = 0.282, p = .596, phi-squared = 0.067.
Zheng, Yu, et al. “Worth-based choice: Giving an offered smaller pear an even greater fictional value.” Journal of Pacific Rim Psychology 13 (2019): e10.
Contrary to what the study makers write, we should not take the results as proof that “the choice of selecting the option with less value (in terms of giving away the bigger pear) is not a myth but a certain reality.” Lack of rigorous analysis beyond an ANOVA test does away with that conclusion—confounders surely abound here, especially with the stated lack of statistical significant differences. Much less should we generalize the results to all of China—Fújiàn is a classical Southerner province with the all too stereotypical Southerner traits.
Said experiment was only the first in a long life of unrigorous experiments. Experiment 3a used overly complicated rationales for so-called (economically) “irrational” choices when these were perfectly (economically) rational in context—superstitions made people with low time preference believe that they making a sound investment4. Experiment 3b only replicated a well known prospect theory result: certain outcomes are more preferred over uncertain outcomes. Experiment 6 simply replicated a well-known Labor Economics result: people like working near where they live and would prefer so even if the pay was lower—yet only so slightly low that they would at worst be indifferent to working abroad. I will leave tearing down the other experiments as an exercise to the reader.
Kǒng Róng’s story thus applies only to the first experiment—and even then, confounders hound it.
Appendix: Other comparisons

Northerners are taller and more muscular then Southerners. In 2019, the average male 19-year old Chinese height was 5’9”. Knowing that Southerners are shorter, Northern China should be full of ~6’ young men.
Dog-meat eating is common in the South, and is uncommon (but not absent) in the North.
Exotic animal eating (like bats) is common in the South (like Wǔhàn), and is absent in the North.
Northern martial arts emphasize generating explosive power from the legs (i.e. the narrow horse stance in Bājíquán or Pīguàzhǎng transitioning into the bow stance), while Southern styles emphasize quick punches and reserved movement (like Wing Chun; the horse stance here is wide to provide stability while striking).
The number 4 is unlucky for Southerners (except the Min Chinese) because it sounds like “death”. The number 54 is considered lucky by the Cantonese for sounding like “never die”. Northerners (and the Min Chinese) treat the number 4 as lucky, while they consider numbers 14 and 74 unlucky for sounding like “is dead” and “is really dead”, respectively.
Cantonese consider reading books in probability-dependent places (trading floors, casinos, etc) unlucky. They also consider umbrellas bad omens for groups and relationships.
The dragon-boat festival is a Southern festival.
If you go to Beijing, you should always use 您 (nín [hǎo]) because they find 你 (nǐ [hǎo]) quite rude. But I find Beijing weird even if that's where mandarin comes from.
Anonymous internet user
Westerners were allowed trade only with Guǎngdōng and other Southern ports, and only a handful of Northern ones like Tiānjīn. Fújiàn immigrants were widespread worldwide. Hence most Western stereotypes about China and the Chinese find their roots in Southern Chinese culture, and not China as a whole.
Some of finest girls I’ve known were in Tianjin. They are both down to earth and lovely.
Anonymous internet user
One could mistake the people in this scene as Filipino or Indonesian if they spoke no Cantonese and had no Chinese characters surrounding them and wore no Chinese outfits.
Areas for Further study
While East Asian bullying is in fact rather low, the bully to victim ratio is high in Japan and Korea—as befits their newly Confucian and rice-minted collectivism. A regional breakdown for China will work wonders. We have reported some results for odds of becoming a victim of bullying above, but we need more results. Use these studies as a starting point:
Hu, Ran, Jia Xue, and Ziqiang Han. “School bullying victimization and perpetration among Chinese adolescents: A latent class approach.” Children and Youth Services Review 120 (2021): 105709.
Han, Ziqiang, Guirong Zhang, and Haibo Zhang. “School bullying in urban China: Prevalence and correlation with school climate.” International journal of environmental research and public health 14.10 (2017): 1116.
Final Note
In the course of my data collection, I realized that I can write my own paper with all the literature and data in my hands. This will delay further work in any Viator in Terra projects. In fact, this sentence and the ones till the paragraph’s end may or may not be the last sentences I ever write for Viator in Terra. I have drones to build, drones to sell to militaries, technical analysis to perform, papers to write, among many other pursuits delayed thanks to the pandemic and other life events. Maths and mathematical/quantitative economics have always ranked first in my interests, and Viator in Terra nothing more than a cheap way to cash in a niche topic. I progressively got bored of it, however, and wish nothing more but to hand over scriptwriting to someone else.
I might return to this China thing for Part 3, however—but only as more papers to write. Someone else will have to write Part 2, I’m sick of it already.
Thus ends the first half of China’s Soft Underbelly. Part 2 starts with the late Qīng and leads to modern times, showing how Northern-Southern differences affected the Emperor’s overthrow, the Chinese Civil War, the Cultural Revolution, and Chinese economic reforms. Part 3 deals with the present day and needs a lot of my own statistical analysis to finish. I have been using OCR to transcribe official PRC data, then graphing and applying my own statistical tests. This data includes ratio of corporations to total businesses, corruption, marketization, bureaucrat data fudging, among so many other variables. I have also asked Mainlander professors for their data sets in journal articles. I have yet to clean nighttime light based GDP data—though one might glean from this map the direction I’ll go with.

Preview 1
Hán Fēi once lamented how rulers in his time patronized men who discussed categorical imperatives and fruitless ethical meanderings over the yóuxiá braves and fāngshì polymaths:
There are others who establish a name for chivalrous action and gather bands of followers, who guard their honor from all insult and avenge with ready swords the slightest sullen word that reaches their ears. The rulers of the time are sure to treat such men with courtesy, considering them gentlemen of self respect. No reward is given to those who strive to cut off the heads of the enemy in battle, and yet the daring that men show in their family feuds brings them honor and renown. If the ruler hopes, in spite of this, that the people will fight fiercely to drive back the enemy and refrain from private quarrels, he will be disappointed. The nation at peace may patronize Confucian scholars and cavaliers, but the nation in danger must call upon its fighting men. Thus those who are patronized are not those who are of real use, and those who are of real use are not those who are patronized. Hence we have disorder.
Book of Hán Fēi zi, Chapter 50: On the Prominent Schools [Confucianism and Mohism], translated by Burton Watson
They misallocated time, resources, and attention, so their realms faced strife and turmoil. Wǔxiá fiction has immortalized this cycle: the yóuxiá hero is rejected from a martial arts school, so he trains on his own, and he builds his own school. The regime favored compliance and blindly following rules, so the hero made his own way by turning to the rivers and lakes—China’s wilderness. Those who benefit from the regime project their own improprieties on those who made it on their own, for the former know that they have nothing without regime favor.
One should understand by this point that the People’s Republic of China faces the exact same thing. Dutiful Northerners ignored for glamorous, flashy Southerners make for a brewing storm. Northern industry and diligence don’t make for flashier statistics than Southern commerce and finance, yet they make the economic lifeblood of the PRC.
Preview 2
The old yóuxiá (wandering braves) and lèitái martial arts tournaments were great outlets for this genetic tendency in peacetime. Now we have but poor man’s versions of these.
For one, Sǎndǎ’s techniques may come from the North, yet its philosophy comes from the South. Northern styles emphasize patience, mental stillness, and applying explosive strength at decisive moments. Southern styles, however, emphasize overwhelming the enemy with fast, intricate strikes and bouncy movement on the balls of one’s feet. Pure Sǎndǎ fighters thus often gas out when fighting Muay Thai fighters—they use their techniques in a way they were never meant to be used.

Legalism held that rulers should not watch over their ministers and subordinates, that he must only give rewards and punishments as fits their actions, and that he must remain effortless in his excellence as ruler.
Aristotle gives us a look:
Justice concerns itself with the right distribution of rewards and punishments within a community…What is the purpose of reward and punishment? I take Aristotle’s answer to be homonoia, the like-mindedness that allows a community to act in concord. For the sake of this end, he says, it is not good enough that people be just, while if they are friends they have no need to be just.
Joe Sachs, Introduction to Ethics
Why, then, do scholars talk of the Qín’s centralization?
The Censorate’s existence gives clues
The Censorate
The Qín, then fell not because it was Legalist, but because it was not Legalist enough.
An alliance of local elites and disgruntled bureaucrats paved the way for the Qín’s collapse.
Cremieux points out that divorce rate and child outcome have genetic origins, since unintentional single parent households (ie., from deaths) had children with similar outcomes to two parent households
Gu Lijun received his Bachelor of Arts from Beijing University and finished his PhD in the George Washington University
If my family had stayed in Beijing through the Xinhai Revolution, the Japanese invasion, and the Civil War, the PRC would have Martian colonies by now thanks to yours truly
For the uninformed, economic rationality is not what we call “rational” in daily use (which means more sensible, reasonable, justifiable, aut al)